Hans Lugtigheid
Inleiding
Met de pandemie is gebleken dat de oversterfte op verschillende manieren berekend kan worden. In dit artikel geven we een methode om de oversterfte per jaar te berekenen. Deze methode houdt rekening met het feit dat de oversterfte in een jaar de verwachte sterfte, en dus de oversterfte, van volgende jaren kan beïnvloeden. Ook laten we zien dat er verschillende definities van oversterfte mogelijk zijn.
Aanloop
De verwachte sterfte per jaar wordt in het algemeen bepaald aan de hand van het verleden. De oversterfte wordt berekend als de actuele sterfte minus de verwachte sterfte.
Als er oversterfte optreedt in een enkel jaar, bijvoorbeeld door een griepgolf, dan is de sterfte in het jaar daarop vaak lager dan verwacht. In het algemeen wordt dan de verwachte sterfte niet aangepast maar wordt opgemerktdat de lagere sterfte te verklaren is uit de griepgolf in het jaar daarvoor.
Bij de corona pandemie was sprake van een gebeurtenis die zich in meerdere jaren afspeelde. Dan wordt de oversterfte minder duidelijk.
Een voorbeeld.
In een land overlijden elk jaar 150K mensen. In een jaar overlijden door een griepgolf 10K ouderen extra die zonder griepgolf in het jaar daarop zouden zijn overleden. De sterfte in dat jaar is dan 160K. De oversterfte is 10K. Dan is het te verwachten dat in het jaar daarop 140K mensen overlijden, 10K minder dan normaal. Stel dat in het tweede jaar 152K mensen overlijden. Dan berekent men de oversterfte voor het tweede jaar gewoonlijk als 152K – 150K = 2K. Als we in het tweede jaar de verwachting per 1 januari bijstellen naar 140K dan is de oversterfte gelijk aan 12K. Een significant verschil. Zie tabel 1.

Op 1 januari van het tweede jaar hebben we dus informatie over de pandemie in het voorgaande jaar. Deze informatie kunnen we gebruiken om de ‘normale’ verwachte sterfte aan te passen. Dat geeft de verwachte sterfte in het tweede jaar, gegeven het aantal mensen dat al in het eerste jaar is overleden. Daarmee krijgen we een realistisch beeld van de oversterfte. Als de pandemie zich over meerder jaren uitstrekt dan moet elk jaar op 1 januari de verwachting bijgesteld worden. Voor de verwachting in het derde jaar geldt dat er mensen in het eerste jaar zijn gestorven die zonder pandemie in het derde jaar zouden zijn gestorven én er zijn mensen in het tweede jaar zijn gestorven die zonder pandemie in het derde jaar zouden zijn gestorven. Enzovoort.
Het model
Oversterfte wordt berekend als werkelijke sterfte min verwachte sterfte. We moeten dus de verwachte sterfte voor ieder jaar bepalen.
Voor elk jaar berekenen/schatten we op 1 januari de verwachte sterfte gegeven de oversterfte in vorige jaren.
We nemen aan dat er een pandemie heerst. Om deze verwachte sterfte voor ieder jaar te berekenen moeten we de oversterfte van ieder jaar verdelen over de daaropvolgende jaren waarin mensen zonder de pandemie zouden zijn gestorven.
We bepalen de verwachte sterfte en de oversterfte in vier stappen.
Stap 1: Jaar 0
We beginnen bij jaar 0. Zie tabel 2.

Toelichting tabel 2:
Kolom1
Betreffend jaar
Kolom 2
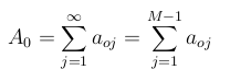
Oversterfte in het jaar. Dus A0 = oversterfte in jaar 0.
Kolommen #
Hierin noteren we het aantal mensen die in jaar 0 zijn gestorven maar zonder de gebeurtenis in het betreffende jaar zou zijn overleden. Of anders gezegd: nog zoveel jaar geleefd zou hebben. Dus bij jaar 5 is a05 het aantal mensen dat in het jaar 0 is overleden en zonder de gebeurtenis zou zijn overleden in jaar 5.
Kolom M
M is de maximum leeftijd die men kan bereiken. Als men geboren is in het jaar 0 dan kan men maximaal leven tot en met het jaar M-1. Dan is de waarde in deze rij vanaf M gelijk aan 0.
Kolom ∞
Het is niet bekend hoe veel jaren een gebeurtenis zal spelen. Daarom gaat de tabel tot ∞. In de praktijk zal men natuurlijk een eindig aantal jaren hanteren.
We hebben de volgende relatie:

Stap 2: Volgende jaren
We voegen de volgende jaren toe. Zie tabel 3.

Toelichting tabel 3
Naast toelichting tabel 2.
Ai
Oversterfte in jaar i.
aij
Aantal mensen dat in jaar i is gestorven dat zonder de gebeurtenis zou zijn overleden in jaar j. Bijvoorbeeld a37 is het aantal mensen dat in jaar 3 is overleden en dat zonder de gebeurtenis zou zijn overleden in het jaar 7. Deze waarden zijn niet bekend. Ze moeten per jaar geschat worden.
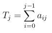
Tj
Totaal aantal mensen dat in jaar j zou zijn overleden maar door de gebeurtenis in eerdere jaren is overleden. Tj is het aantal waar we de verwachte sterfte voor het jaar j mee aanpassen.
M
Bij jaar 0 leeft men maximaal M jaren tot jaar M-1 en is de waarde vanaf jaar M gelijk aan 0. Bij jaar 1 leeft men maximaal M jaren tot jaar M-1 en is de waarde vanaf jaar M+1 gelijk aan 0. Enzovoort.
N
Aantal jaren dat de gebeurtenis duurt en/of invloed heeft.
We hebben de volgende relaties:


De volgorde is nu:

Stap 3: Verwachte sterfte
We bepalen de nieuwe verwachte sterfte in jaar j, (Cj), door de oude verwachte sterfte (Vj) te corrigeren met de hierboven berekende aanpassing (Tj).
In formule: Cj = Vj – Tj.
De volgorde is nu:

Stap 4: Oversterfte
We berekenden de oude oversterfte in het jaar (Oj) met de actuele sterfte (Sj) en oude verwachte sterfte (Vj).
In formule: Oj = Sj – Vj
We berekenen de nieuwe oversterfte in het jaar j, (Aj), met de actuele sterfte (Sj) en de nieuwe verwachte sterfte (Cj).
In formule: Aj = Sj – Cj
De volgorde van bepalen is nu:

Merk op dat we deze oversterfte Aj gebruiken als input in tabel 3.
Het verschil tussen oude en nieuw berekende oversterfte is gelijk aan Tj.
In formule: Aj = Oj + Tj
Oversterfte in hetzelfde jaar
Er kunnen ook mensen overlijden door een gebeurtenis die zonder die gebeurtenis later in het jaar zouden zijn overleden. Bijvoorbeeld een ouder iemand die door covid in april overlijdt en zonder pandemie in oktober zou zijn overleden. Dit is voortijdige overlijden en is in feite ook te kwalificeren als oversterfte. Naar keuze kan dit ook bij de oversterfte van jaar op jaar zoals hierboven beschreven opgeteld worden. Dan ontstaat een nieuwe definitie van oversterfte.
Als we deze ‘jaar-in-jaar’ oversterfte mee nemen dan krijgen we tabel 7.

Toelichting tabel 7:
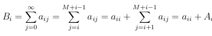
Bi
Oversterfte in jaar i. Deze is inclusief oversterfte in hetzelfde jaar.
aii
Oversterfte in zelfde jaar i
T0
Oversterfte in het jaar 0. Is gelijk aan a00.
Relaties:

Conclusie
Bovenstaand model geeft een manier om de oversterfte over meerdere jaren te berekenen. Het model houdt rekening met het feit dat de (over-)sterfte in een jaar een invloed heeft op de verwachte sterfte en oversterfte in meerdere jaren daarna. Het begrip oversterfte kan op verschillende manieren worden gebruikt. Bij hantering van deze methode is het van belang om duidelijk te definiëren wat men onder oversterfte verstaat. De methode geeft een goed overzicht van de verwachte sterfte en de oversterfte als gevolg van een specifieke gebeurtenis die meerder jaren beslaat.
Dit artikel is gelicentieerd onder
Creative Commons Attribution 4.0 International